世界臨濮施氏宗親總會
關於施氏宗親總會
最新消息
施氏宗親分會
活動花絮
祖先祈福
宗親刊物
聯絡我們
Language
繁體中文
简体中文
Line
WeChat
次選單
宗親刊物
大會手冊
施氏世界
世界施氏通訊
第一期
第二期
第三期
第四期
第五期
第十期
第十一期
第十二期
第十三期
第十四期
宗親刊物
宗親刊物
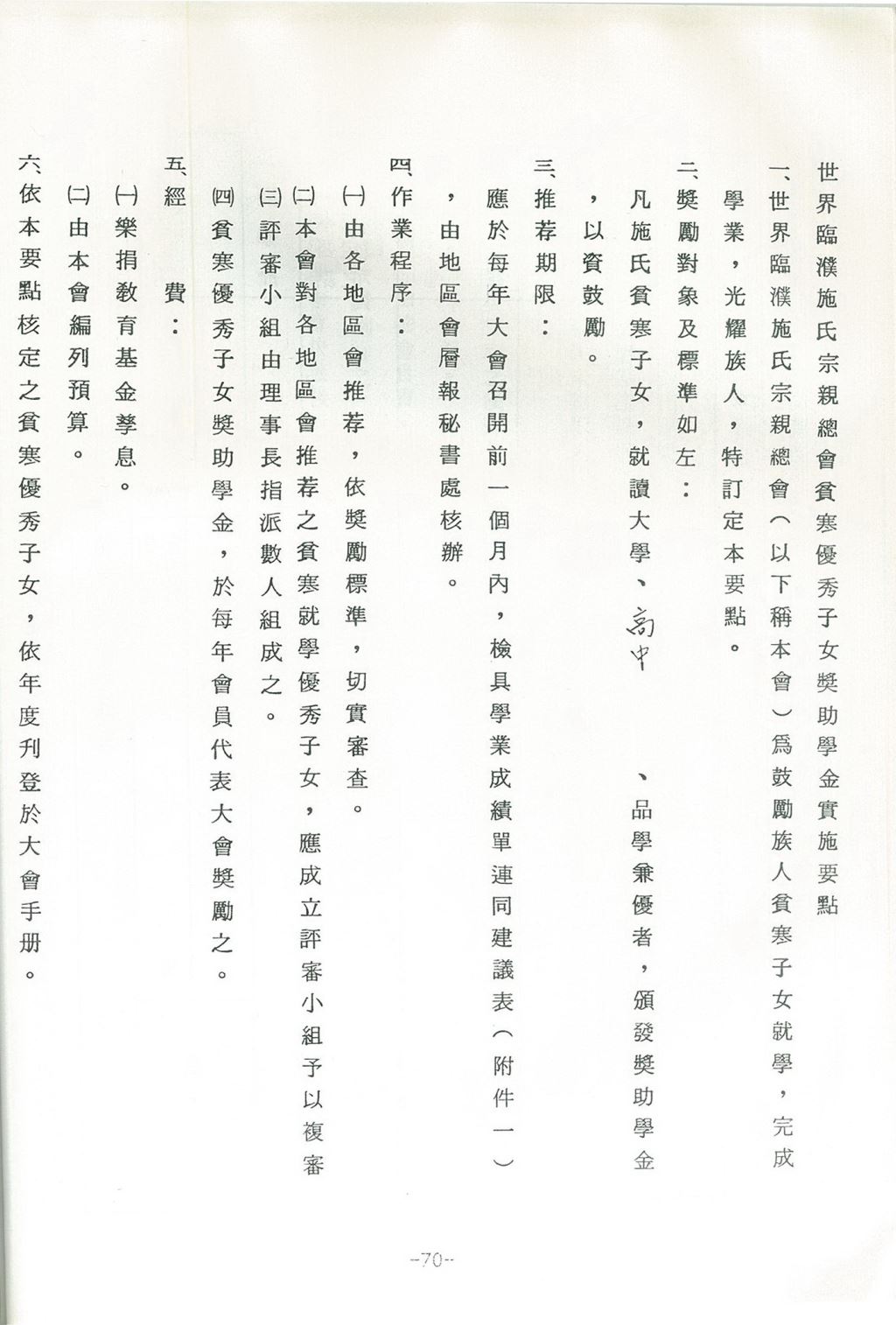
第5屆第一次會員大會
PDF檔下載
回列表頁
TOP